
追求合作共贏
Win win for you and me售前售中售后完整的服務體系
誠信經營質量保障價格合理服務完善產品溫度是凍干過程的關鍵參數,在之前的文章中羅博講凍干011:PT-100還是熱電偶?——兩種溫度探頭在凍干過程測量結果的比較,我們比較了不同溫度探頭(熱電偶和PT-100)對于測量結果的影響。然而,在實際凍干過程中,不僅僅溫度探頭的類型對測量結果有影響,溫度探頭放置的位置也將對凍干過程和凍干工藝的確定產生影響,在這篇文章中,我們將通過實驗和仿真相結合的手段為大家說明不同探頭位置的影響。
2 結果與討論
2.1 上下方向對探頭測量結果的影響
2.1.1 實驗設置
為了比較探頭在豎直方向的不同對探頭測量結果的影響,我們在開譜原位凍干機RD機型上進行了實驗,分別將探頭放置在距離西林瓶底部不同高度的位置上,如圖1所示。其中,紅色線為溫度探頭。可以看出,右側探頭放置位置相對于左側探頭更加靠近西林瓶底部。


圖1 探頭放置位置示意圖
整個實驗過程采用控制變量法,除了探頭位置不同,其它因素,如溶液體積,凍干過程參數等全都保持一致。而后記錄溫度探頭得到的數據曲線。
2.1.2 結果分析
圖2和圖3分別為圖1左側和右側所示放置方式得到的數據曲線。

圖2 凍干過程曲線

圖3 凍干過程曲線
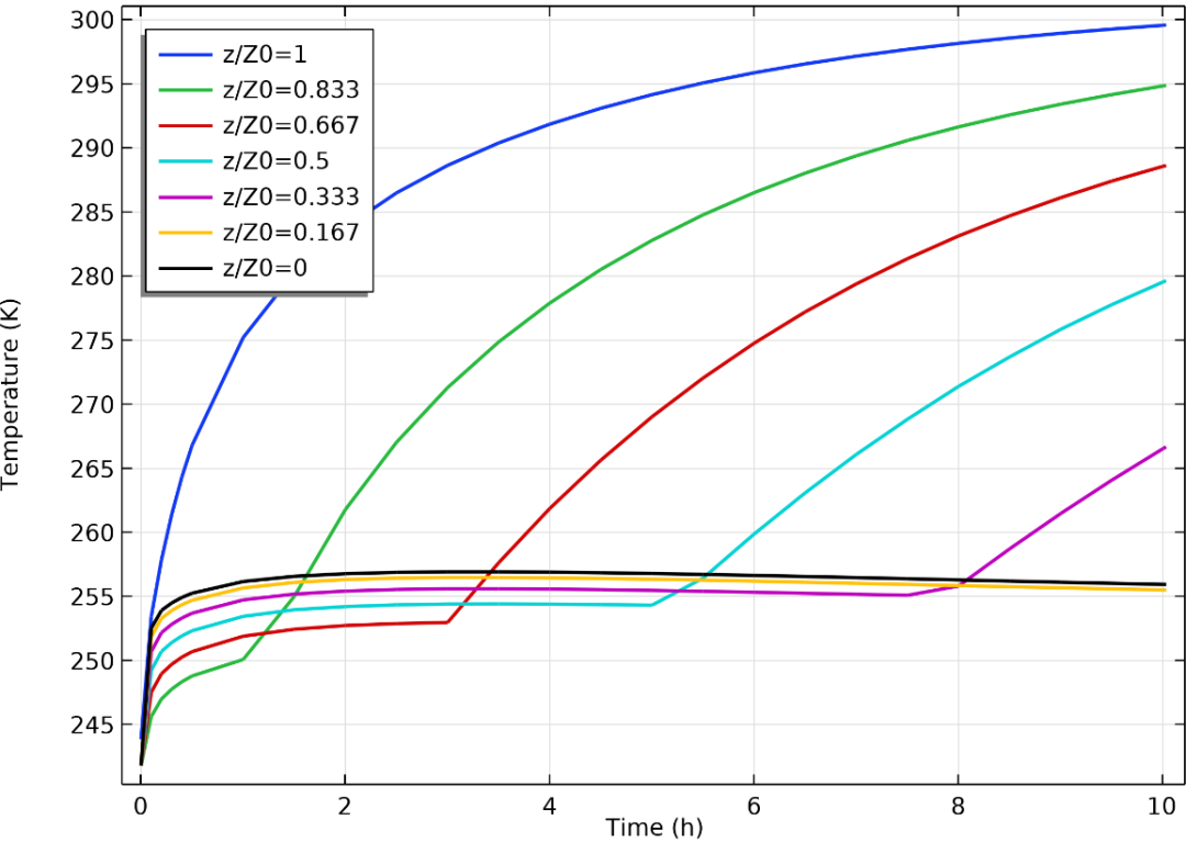
從圖2和圖3中可以看出,兩種測試情況下,真空度、擱板溫度,期望溫度和電阻率等參數基本保持一致。而樣品溫度(黃色曲線)趨勢也一致,區別在于兩種測試情況下的溫度轉折點出現的時間不同。這是比較容易理解的,在樣品的升華干燥過程中,升華界面自上而下移動,探頭位置越接近底部,升華界面達到的位置也就越晚。仿真結果也能說明這一現象。圖4是通過CFD模擬計算得到的不同位置樣品溫度變化曲線,圖中z/z0=0的位置為樣品底部,z/z0=1的位置為頂部。

圖4 不同位置溫度變化曲線
比較圖2,圖3和圖4可以發現,仿真和實驗得到的溫度變化趨勢基本比較接近,溫度曲線出現轉折點是因為在初始階段,溫度曲線對應的位置屬于凍結區域,升華界面尚未到達該位置。而干燥區和升華界面在該該位置的上方。盡管外界環境和擱板向產品內供熱,但是熱量大部分用于升華界面升華,凍結區溫度上升較慢。而當升華界面經過該點后,該點從凍結區變為干燥區,外界的熱量主要用于提升其顯熱,而且物性參數(表觀導熱系數、密度等)也發生了改變,因此樣品溫度上升速率明顯變大。
通過上面的分析可以看出,溫度曲線轉折點可以用于判斷升華界面到達時間。當我們再次比較圖2和圖3時,我們可以發現,圖3中溫度曲線發生轉折的時間點要滯后于圖2曲線。這說明升華界面更快到達圖2所示的位置。根據上述分析,探頭應該放置在樣品底部,這樣才能避免過早判斷干燥過程結束,從而避免產生誤判。
2.2 左右方向對探頭測量數據的影響
在實際凍干過程中,不僅探頭上下放置位置對測量結果有影響,左右位置對探頭測量結果也有影響,這體現在兩個方面,一方面是西林瓶內部傳熱熱阻問題,而在另一方面則是環境的影響,也就是文獻中講的“Edge Effect"
2.2.1 西林瓶內熱阻的影響
對于裝在西林瓶中的樣品而言,由于導熱熱阻的存在,其內部溫度不可能全部保持一致,靠近瓶壁的部分由于與外界環境更加接近,其溫度往往高于內部溫度。圖5所示為仿真計算得到的西林瓶內甘露醇凍干過程中升華界面位置和溫度分布圖。

圖5 甘露醇凍干仿真結果:左側:升華界面位置;右側:溫度和熱流分布
從上圖可以看出,樣品的升華界面并不是平坦的,而是呈現出兩邊低中間高的形態,這是因為兩側接受到的熱量更高,升華速率更快,而由于內部熱阻影響,內部得到的熱量少(外界來的熱量有部分被用于提升樣品顯熱),因此升華慢,因此,在升華干燥過程中,往往是西林瓶底部中間部分最后干燥完成。這也是為什么有時候樣品外表看起來已經干了,但是一拿出來還是化了的原因。
針對上述情況,如果將探頭放置在西林瓶左右兩側,那么得到的結果可能失真,這時,從探頭數據上顯示凍干過程已經完成,然而實際上底部中心區域還有未凍結區域,最終導致凍干過程失敗。
2.2.2 環境的影響
在中試和生產型凍干中,往往是數百個瓶子放在托盤里一起進行凍干,這時候,不同位置的西林瓶的溫度并不一致,靠近艙門的瓶子由于能接受到外界輻射,往往溫度更高,而在內部的瓶子由于外界瓶子的遮擋以及瓶子之間的冷輻射,溫度更低。數值仿真結果也證明了這一觀點,圖6展示了靠近凍干機艙門西林瓶內溫度分布,圖中的箭頭代表熱流,箭頭大小代表了熱流的強弱。從圖中可以看出,靠近艙門的西林瓶(Vial C和Vial E)明顯受到了左側艙門的影響,外界的熱量進入到了西林瓶內,而原理艙門的西林瓶(Vial M)則受艙門的影響較小。

圖6 不同位置西林瓶的溫度分布
對于上述情況,如果將探頭放置在西林瓶外側,此時測量得到的溫度并不是樣品的真實值,因為,此時探頭得到的溫度值可能會受到外界輻射的影響,影響凍干工藝判斷,最終可能導致凍干工藝失敗。
3 結論
在這篇文章中,我們通過實驗和仿真分析相結合的手段,分析上下位置以及左右位置對溫度探頭讀取數據的影響,最終得出結論:溫度探頭應該放在西林瓶底部中心的位置。這樣得出來的數據既能輔助凍干工藝判斷,也能避免外界其他因素的影響。都林理工大學的研究團隊也提出了此觀點,他們在文章中也分析了人為操作誤差對凍干的影響,有興趣的朋友可以閱讀本文中的參考文獻3。
4 參考文獻
2 關于“Edge effect"的討論可參照論文:Scutellà B, Plana-Fattori A, Passot S, et al. 3D mathematical modelling to understand atypical heat transfer observed in vial freeze-drying[J]. Applied thermal engineering, 2017, 126: 226-236.
3 人為操作誤差的影響可參考論文:Demichela M, Barresi A A, Baldissone G. The effect of human error on the temperature monitoring and control of freeze drying processes by means of thermocouples[J]. Frontiers in Chemistry, 2018, 6: 419.